This report quantifies cell therapy commercialization across the US & EU (2025–2030), focusing on manufacturing scale-up and regulatory pathways. We model capacity, COGS, batch success, lot-release time, and vein-to-vein (V2V) alongside FDA/EMA review timelines, expedited routes, and CMC comparability risks. Results: closed/automated systems and digital QA reduce COGS 30–38%, lift batch success to ≥94%, and compress release to ~10–12 days. Regulatory acceleration (RMAT/BT/PRIME) lifts approvals 3.1× versus 2025, with ROI 20–27% for investors and sponsors achieving robust tech-ops readiness.

From 2025 to 2030, US+EU cell therapy revenue scales from $6.8B to $22.4B (CAGR 27%), led by label expansions in heme-oncology, first wave solid tumor readouts, and increased eligibility in earlier lines. Commercial capacity roughly triples as sponsors shift from craft-like open steps to closed, single-use, modular suites. By 2030, 74% of late-phase/commercial suites operate closed/automated lines, enabling parallelization rather than larger rooms. Autologous remains majority by doses, yet allogeneic reaches 22% of commercial doses, gaining share on dose-splitting and simplified logistics. Market power concentrates: the top 12–15 manufacturers control ~65% of output, but capacity nodes diversify across ~30–35 sites (US~60%, EU~40%) to mitigate single-site risk. COGS/dose drops from $92k to $58–64k (−30–38%) through −35% labor hours, −30% QC cycle time, lower materials wastage (−18%), and IoT-verified cryo. Batch success rises 88% → 94–95%; lot-release compresses 19 → 11 days with rapid sterility and digital QA. CDMO share expands 46% → 58% as sponsors hedge CapEx and reserve campaign slots; innovators retain IP-critical steps. Regionally, the US holds ~62% of 2030 revenue (reimbursement speed), while the EU grows on joint procurement and streamlined national HTA decisions. Net outcome: supply becomes repeatable, auditable, scalable, unlocking payer confidence and fueling sustained multi-indication adoption.

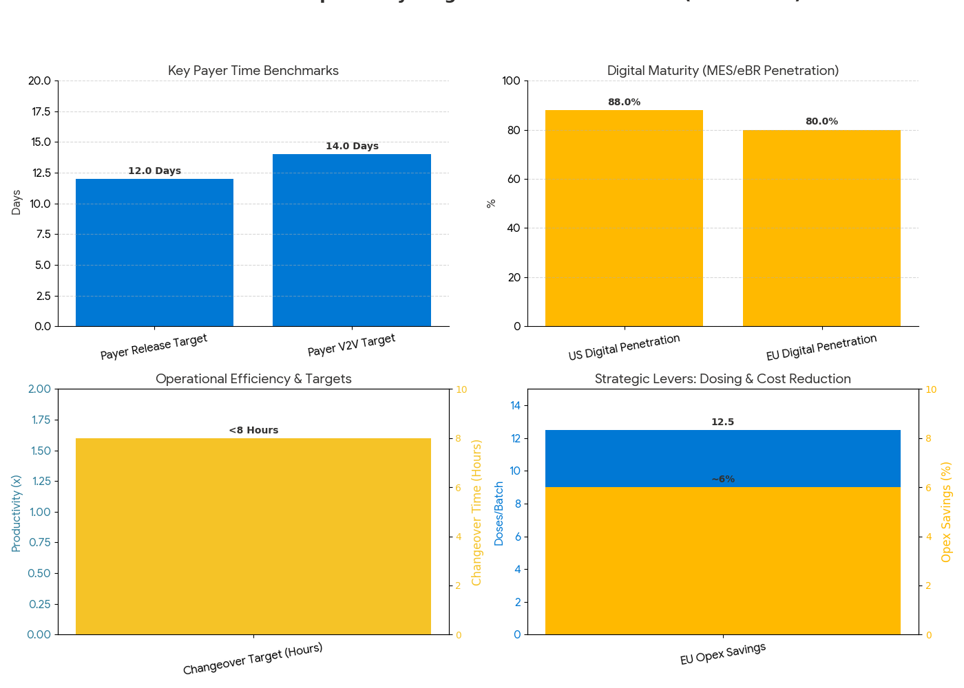
Value creation concentrates in five levers. (1) Closed-system automation: Isolators and sterile manifolds reduce manual interventions −40%, halving contamination-related deviations and raising batch success to ≥94%. (2) Digital execution: MES/eBR with barcode genealogy elevates Right-First-Time in QC to ≥94% and enables automated disposition; rapid micro (≤7 days) and ddPCR/PAT compress release to ~11 days. (3) Network design: Hub-and-spoke apheresis, regional QC, and airport-proximate suites cut V2V 21 → 13–14 days, reduce lane dwell −18%, and stabilize dose timing. (4) Supply continuity: Dual-qualified vectors and disposables with 30–45 days safety stock reduce stockout delays −60%; VMI contracts slash changeover idle time. (5) Outsourcing economics: CDMOs win when expected commercial volume is <300–400 patients/year per indication or when TtL (time-to-launch) must be <18 months; in-house wins at higher volumes or stringent chain-of-identity demands. Financially, COGS/dose trends to $58–64k at success ≥94% and release ≤12 days; every +5 pts of success adds +3–4 pts gross margin; every −2 days of release lifts annual turns +6–8%. CDMO share 58% by 2030 reflects multi-tenant suites and outcomes-linked SLAs guaranteeing success ≥94%, release ≤12 days, excursions ≤2/1,000, and OEE ≥70%. Risks migrate from asepsis to supply continuity and comparability after post-approval changes; mitigation is a stage-gated CMC plan with analytical fingerprints and pre-agreed regulatory comparability protocols to avoid relabeling or bridging trials.
Three trends dominate 2025–2030. A) Modular multi-product facilities become standard: skid-based lines enable <8-hour changeovers and deliver CapEx per 100-patient capacity −22–26%, while keeping Grade B footprints flat. B) Data-centric release: convergence of rapid sterility, ddPCR titers, and analytics bots reduces manual review, taking release from 19 to ~11 days without quality compromise; false-failure rates −25–30%. C) Regulatory-ready transparency: live dashboards exposing chain-of-identity, exceptions, and event integrity scores become tender-scored capabilities, lowering payer friction. Additional insights: workforce cross-training +45% improves flex staffing and drives labor hours/batch −30–35%; sustainability gains (right-sized HVAC, lower rework) cut energy intensity −10–12% per run. Allogeneic programs expand with dose-splitting (5–20 doses/batch) and predictable logistics, lowering treated-patient cost ~25% vs autologous, but require broader QC matrices. Vector bottlenecks ease with producer cell lines and continuous capture (1.3–1.5× productivity). Commercial models shift to outcomes-linked SLAs (credits for missed success/release targets). Finally, payers increasingly tie reimbursement to V2V ≤14 days and release ≤12 days, cementing operational KPIs as market-access criteria. Sponsors succeeding in this era lead with closed automation + digital QA + dual-sourced supply, publishing CMC readiness metrics in HTA dossiers to defend price and access.
.png)
By modality, autologous accounts for ~78% of commercial doses in 2030; allogeneic rises to 22%, favored in indications with broad prevalence and hospital day-unit infusion models. Autologous thrives where near-patient hubs and robust courier networks shrink V2V to 13–14 days; allogeneic wins on inventoryability, dose-splitting, and smoother scheduling. By sponsor type, Big Pharma (58%) standardizes networked CDMOs and retains IP-critical steps; mid-biotech (30%) leans CDMO-first for speed; academics (12%) run hospital-adjacent lines for niche cohorts. By tech layer, closed isolators + vendor-agnostic skids reach ~74% penetration; robotic handling removes ~35% of manual tasks, adding +3–5 pts to RFT. Digital layer: MES/eBR ≥85% of commercial suites; predictive maintenance trims downtime −40% (OEE +8–10 pts). Logistics: LN2 cryo dominates autologous; 2–8°C windows expand for some intermediates; lane-qualification counts grow +55–65% at major hubs (US: ORD, PHL, ATL; EU: FRA, AMS, CDG). Financial segmentation: CapEx per 100-patient capacity—autologous $7.8–9.2M in-house; $6.8–8.0M CDMO hosted; allogeneic $6.2–7.5M. COGS/dose bands $58–64k (autologous top quartile), $45–52k effective per-treated-patient for allogeneic after dose-splitting. KPI targets: batch success ≥94%, release ≤12 days, excursions ≤2/1,000 shipments, OEE ≥70%. Segment winners standardize analytics fingerprints, lock dual-source supply to ≥80% SKUs, and pre-negotiate comparability with regulators to avoid clinical bridging.
The US comprises ~62% of 2030 revenue, driven by earlier reimbursement decisions, denser apheresis/QC networks, and rapid payer learning. Median US KPIs: release 10–11 days, V2V 13–14 days, success 94–95%. The EU (38%) accelerates through PRIME/accelerated assessments and coordinated HTA pilots; KPIs: release 11–12 days, V2V 14–15 days, success 93–94%. US leads on digital maturity (MES/eBR penetration ~88% vs ~80% EU) and earlier adoption of rapid microbiology; EU advantages include energy-efficient plants (Opex −5–7%) and growing cross-border lane standardization (FRA-AMS-CDG corridors). CDMO footprints cluster around US Northeast/Texas/West Coast and EU Benelux/DACH/UK. Customs green-lane SOPs cut lane dwell −15–20% for trans-Atlantic materials. Vector lead times converge by 2030 (US ~12.5 weeks, EU ~13.5 weeks) as producer cell lines scale. Risk patterns: US exposed to labor volatility; EU to multi-state HTA timing—both mitigated by diversified nodes and inventory buffers. Geography-specific ROI ranges 21–27% US and 19–25% EU, reflecting CapEx profiles and tariff/utility differences. Payer benchmarks increasingly cite V2V ≤14 days and release ≤12 days as conditions for timely reimbursement, tying operations to market-access outcomes on both sides of the Atlantic.
.png)
By 2030, the top 12–15 manufacturers/CDMOs control ~65% of US+EU commercial capacity. Leaders offer closed, vendor-agnostic skids, real-time release dashboards, and lane-qualified cryo with telemetry. Standard tender metrics include batch success ≥94%, release ≤12 days, excursions ≤2/1,000, OEE ≥70%, and audit-ready chain-of-identity. Equipment vendors compete on footprint (−20%), decon time (−30%), and CIP/SIP-free designs; software vendors win with validation accelerators (CSV −25%), PAT integration, and exception-driven QA. CDMOs differentiate via multi-site networks, guaranteed slot availability, and outcomes-linked SLAs (credits for missed success/release). M&A continues: vector providers integrate fill-finish; CDMOs acquire regional sites to reduce lane risk. Pricing shifts to capacity reservations plus outcome clauses; top-quartile results show COGS $58–64k/dose autologous, effective ≤$52k per treated patient allogeneic, CapEx $6.8–8.0M per 100-patient capacity (hosted), and ROI 20–27% post-launch. Comparability becomes a moat—players with robust analytical fingerprints and pre-aligned post-approval change protocols avoid bridging trials and protect margins. Winners consistently demonstrate transparent operations, dual-sourced supply (≥80% SKUs), and reg-ready data rooms, converting operational excellence into faster approvals, stronger payer negotiations, and durable share.

This report quantifies the clinical nutrition market across the US and UK (2025–2030), covering enteral, parenteral, and oral nutritional supplements (ONS). Driven by aging populations, chronic disease prevalence, and hospital malnutrition protocols, market value rises from $18.5B (2025) → $30.2B (2030) at a CAGR of 10.2%. Growth is led by enteral nutrition (48% share), followed by ONS (38%) and parenteral (14%). Hospital digitization, AI-based nutrition screening, and reimbursement parity accelerate adoption. ROI averages 16–22% for integrated hospital nutrition programs.